Aktuelle Düsseldorfer Tabellen

von | 15. Dez. 2025 | Familienrecht

Die Düsseldorfer Tabelle ist eine Richtlinie zur Berechnung des Kindesunterhalts in Deutschland.

Sie dient als Orientierungshilfe für Gerichte, Anwälte und unterhaltspflichtige Elternteile, um den Unterhalt für minderjährige und volljährige Kinder zu bestimmen. Die Tabelle wird regelmäßig angepasst, meist in Abhängigkeit von der Entwicklung der Lebenshaltungskosten und der Mindestunterhaltsverordnung. 

Die Düsseldorfer Tabelle für jedes Jahr neu angepasst, um sich ändernden Voraussetzungen Rechnung zu tragen

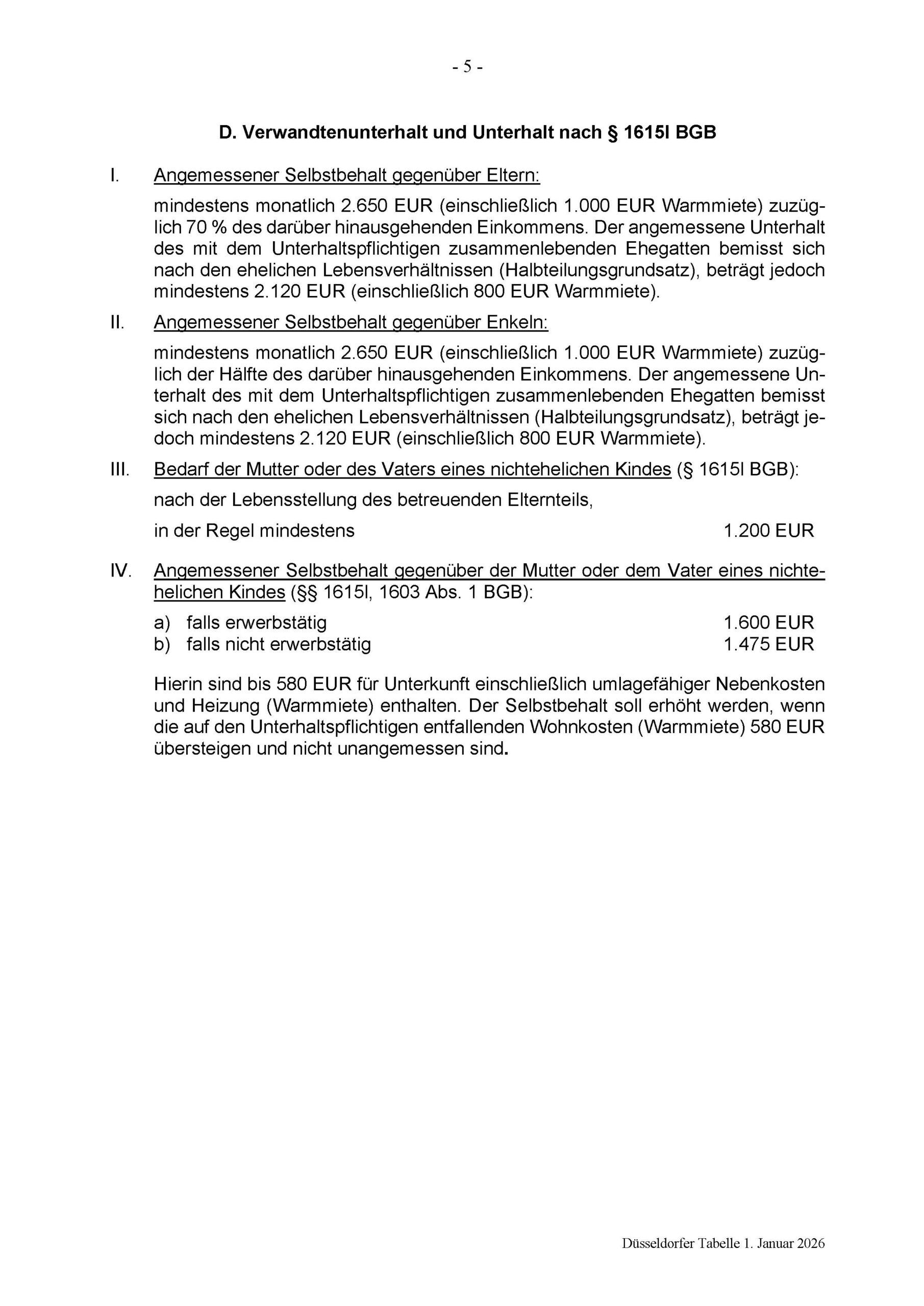
Aufbau und Inhalte der Düsseldorfer Tabelle:

Einkommensgruppen:
Die Tabelle ist in Einkommensgruppen unterteilt, die das bereinigte Nettoeinkommen des unterhaltspflichtigen Elternteils berücksichtigen. Das bereinigte Einkommen ergibt sich aus dem Nettoeinkommen abzüglich bestimmter Ausgaben wie beruflicher Aufwendungen oder Schulden.

Altersstufen der Kinder:
Der Kindesunterhalt ist nach Altersgruppen gestaffelt:
Altersstufe: Kinder bis 5 Jahre
Altersstufe: Kinder von 6 bis 11 Jahren
Altersstufe: Kinder von 12 bis 17 Jahren
Altersstufe: Volljährige Kinder

Bedarfsbeträge:
Für jede Altersstufe und Einkommensgruppe sind in der Tabelle Unterhaltssätze aufgeführt. Diese Beträge stellen den monatlichen Bedarf des Kindes dar.

Kindergeldanrechnung:
Das Kindergeld wird auf den Unterhaltsbedarf angerechnet. Bei minderjährigen Kindern wird es zur Hälfte, bei volljährigen Kindern vollständig berücksichtigt.

Selbstbehalt:
Es wird ein sogenannter „Selbstbehalt“ festgelegt, der den Betrag definiert, der dem unterhaltspflichtigen Elternteil mindestens zum eigenen Lebensunterhalt verbleiben muss. Beim Mindestunterhalt in der 1. Einkommensgruppe beträgt dieser 1200 €.

Volljährige Kinder und Studierende:
Volljährige Kinder haben einen Anspruch auf Unterhalt, der sich aus der Tabelle ableiten lässt, solange sie sich in Ausbildung oder Studium befinden. Für Studierende mit eigenem Haushalt gilt ein pauschaler Bedarf, unabhängig vom Einkommen der Eltern.

 

Aktualisierung

Die Tabelle wird von den Oberlandesgerichten in Zusammenarbeit mit dem Deutschen Familiengerichtstag regelmäßig überarbeitet. Die letzte Anpassung berücksichtigt die Erhöhungen der Mindestunterhaltsverordnung.

Die Düsseldorfer Tabelle ist kein verbindliches Gesetz, sondern eine Leitlinie, die Gerichte je nach individueller Situation abweichend anwenden können.

i Düsseldorfer Tabelle 2022

i Düsseldorfer Tabelle 2023

i Düsseldorfer Tabelle 2024

i Düsseldorfer Tabelle 2025

i Neue Düsseldorfer Tabelle ab dem 01.01.2026

 

Ihr Ansprechpartner für dieses Thema:

Ein Portrait Ihres Ansprechpartners zu diesem Thema, Rechtsanwältin Inge Saathoff

Rechtsanwältin

Inge Saathoff

Fachanwältin für Familienrecht

Ein Portrait Ihres Ansprechpartners zu diesem Thema, Rechtsanwalt Burkhard Bühre

Rechtsanwalt

Burkhard Bühre

Fachanwalt für Familienrecht und Fachanwalt für Arbeitsrecht